sandbox/ghigo/artery1D/delestre.c
Analytic solution proposed by O. Delestre
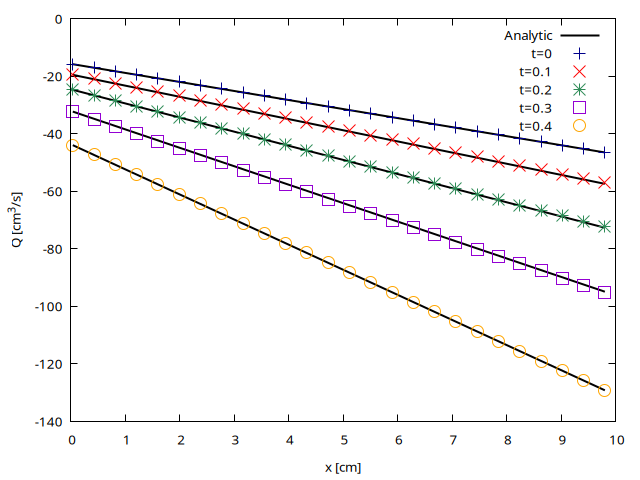
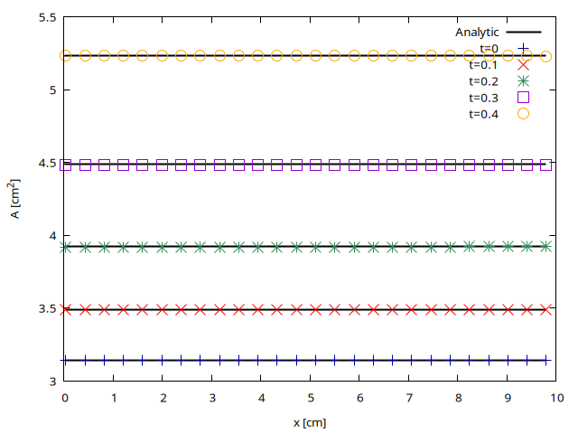
We solve the inviscid 1D blood flow equations in a straight artery. The computed blood flow is compared to an analytic solution.
Analytic solution
We search for a simple solution of the form:
\left\{ \begin{aligned} & A\left(x,\, t \right) = a\left(t\right)x + b\left(t\right) \\ & U\left(x,\, t \right) = c\left(t\right)x + d\left(t\right). \end{aligned} \right.
Injecting these expressions in the inviscid 1D blood flow equations written in non-conservative form, we obtain the following ordinary differential equations for the coefficients a, b, c and d:
\left\{ \begin{aligned} & a = 0 \\ & d^{'} + bc = 0 \\ & c^{'} + c^2 = 0 \\ & d^{'} + cd = 0. \end{aligned} \right.
We finally obtain the following analytic solution for the cross-sectional area A and the flow rate Q:
\left\{ \begin{aligned} & A\left(x,\, t\right) = \frac{C_2}{C_1 + t}\\ & U\left(x,\, t\right) = \frac{C_3 + x}{C_1 + t} \\ & Q\left(x,\, t\right) = AU, \end{aligned} \right.
where C_1, C_2 and C_3 are constants chosen through the inlet and outlet boundary conditions.
Code
#include "grid/cartesian1D.h"
#include "bloodflow.h"
double R0 = 1.;
double K0 = 1.e4;
double L = 10.;
double C1 = -1.;
double C2 = -pi;
double C3 = 5.;
scalar ea[], eq[];
double ea1, ea2, eamax, eq1, eq2, eqmax;
int ne = 0;
double celerity (double a, double k) {
return sqrt(0.5*k*sqrt(a));
}
double analyticA (double t, double x,
double C1, double C2) {
return (C2)/(C1 + t);
}
double analyticU (double t, double x,
double C1, double C3) {
return (C3 + x)/(C1 + t);
}
int main() {
origin (0., 0.);
L0 = L;
for (N = 32; N <= 256; N *= 2) {
ea1 = ea2 = eamax = 0.;
eq1 = eq2 = eqmax = 0.;
ne = 0;
run();
printf ("ea, %d, %g, %g, %g\n", N, ea1/ne,
sqrt(ea2/ne), eamax);
printf ("eq, %d, %g, %g, %g\n", N, eq1/ne,
sqrt(eq2/ne), eqmax);
}
return 0;
}
q[left] = dirichlet(analyticA (t, 0., C1, C2)*analyticU (t, 0., C1, C3));
a[right] = dirichlet(analyticA (t, L0, C1, C2));
event defaults (i=0) {
gradient = order1;
riemann = hll_glu;
}
event init (i=0) {
foreach() {
k[] = K0;
a0[] = pi*pow(R0, 2.);
a[] = analyticA (0., x, C1, C2);
q[] = analyticA (0., x, C1, C2)*analyticU (0., x, C1, C3);
}
}
event field (t = {0., 0.1, 0.2, 0.3, 0.4}) {
if (N == 128) {
foreach() {
fprintf (stderr, "%g, %.6f, %.6f\n", x, a[], q[]) ;
}
fprintf (stderr, "\n\n") ;
}
}
event error (i++) {
ne++;
foreach() {
ea[] = a[] - analyticA (t, x, C1, C2);
eq[] = q[] - analyticA (t, x, C1, C2)*
analyticU (t, x, C1, C3);
}
norm na = normf (ea);
ea1 += na.avg;
ea2 += na.rms*na.rms;
if (na.max > eamax)
eamax = na.max;
norm nq = normf (eq);
eq1 += nq.avg;
eq2 += nq.rms*nq.rms;
if (nq.max > eqmax)
eqmax = nq.max;
}
event end (t = 0.4) {
printf ("#Inviscid Delestre test case completed\n") ;
}Plots
reset
mycolors = "dark-blue red sea-green dark-violet orange"
mypoints = '1 2 3 4 6'
set datafile separator ','
set style line 1 lt -1 lw 2 lc 'black'
k0 = 1.e4
a0 = pi
c1 = -1.
c2 = -pi
c3 = 5.
a(t, x) = c2/(c1 + t)
u(t, x) = (c3 + x)/(c1 +t)
q(t, x) = a(t, x)*u(t, x)
set output 'A.png'
set xlabel 'x [cm]'
set ylabel 'A [cm^2]'
set key top right
plot a(0., x) w l ls 1 t 'Analytic', \
a(0.1, x) w l ls 1 notitle, \
a(0.2, x) w l ls 1 notitle, \
a(0.3, x) w l ls 1 notitle, \
a(0.4, x) w l ls 1 notitle, \
'log' i 0 u 1:2 every 5 w p lt word(mypoints, 1) lc rgb word(mycolors, 1) ps 2 lw 1 t 't=0', \
'log' i 1 u 1:2 every 5 w p lt word(mypoints, 2) lc rgb word(mycolors, 2) ps 2 lw 1 t 't=0.1', \
'log' i 2 u 1:2 every 5 w p lt word(mypoints, 3) lc rgb word(mycolors, 3) ps 2 lw 1 t 't=0.2', \
'log' i 3 u 1:2 every 5 w p lt word(mypoints, 4) lc rgb word(mycolors, 4) ps 2 lw 1 t 't=0.3', \
'log' i 4 u 1:2 every 5 w p lt word(mypoints, 5) lc rgb word(mycolors, 5) ps 2 lw 1 t 't=0.4'
{0,
0.1, 0.2, 0.3, 0.4}
set output 'Q.png'
set xlabel 'x [cm]'
set ylabel 'Q [cm^3/s]'
set key top right
plot q(0., x) w l ls 1 t 'Analytic', \
q(0.1, x) w l ls 1 notitle, \
q(0.2, x) w l ls 1 notitle, \
q(0.3, x) w l ls 1 notitle, \
q(0.4, x) w l ls 1 notitle, \
'log' i 0 u 1:3 every 5 w p lt word(mypoints, 1) lc rgb word(mycolors, 1) ps 2 lw 1 t 't=0', \
'log' i 1 u 1:3 every 5 w p lt word(mypoints, 2) lc rgb word(mycolors, 2) ps 2 lw 1 t 't=0.1', \
'log' i 2 u 1:3 every 5 w p lt word(mypoints, 3) lc rgb word(mycolors, 3) ps 2 lw 1 t 't=0.2', \
'log' i 3 u 1:3 every 5 w p lt word(mypoints, 4) lc rgb word(mycolors, 4) ps 2 lw 1 t 't=0.3', \
'log' i 4 u 1:3 every 5 w p lt word(mypoints, 5) lc rgb word(mycolors, 5) ps 2 lw 1 t 't=0.4'
{0,
0.1, 0.2, 0.3, 0.4}
set xtics 32,2,256
set logscale
ftitle(a,b) = sprintf('Order %4.2f', -b)
f1(x) = a1 + b1*x
f2(x) = a2 + b2*x
f3(x) = a3 + b3*x
fit f1(x) '< grep ^ea out' u (log($2)):(log($3)) via a1, b1
fit f2(x) '< grep ^ea out' u (log($2)):(log($4)) via a2, b2
fit f3(x) '< grep ^ea out' u (log($2)):(log($5)) via a3, b3
set output 'errA.png'
set xlabel 'N'
set ylabel 'Relative error norms'
set key top right
set cbrange[1e-10:1e10]
plot '< grep ^ea out' u 2:3 w p lt word(mypoints, 1) lc rgb word(mycolors, 1) ps 3 lw 2 t '|A|_1, '.ftitle(a1, b1), \
exp (f1(log(x))) ls 1 notitle, \
'< grep ^ea out' u 2:4 w p lt word(mypoints, 2) lc rgb word(mycolors, 2) ps 3 lw 2 t '|A|_2, '.ftitle(a2, b2), \
exp (f2(log(x))) ls 1 notitle, \
'< grep ^ea out' u 2:5 w p lt word(mypoints, 3) lc rgb word(mycolors, 3) ps 3 lw 2 t '|A|_{max}, '.ftitle(a3, b3), \
exp (f3(log(x))) ls 1 notitle
fit f1(x) '< grep ^eq out' u (log($2)):(log($3)) via a1, b1
fit f2(x) '< grep ^eq out' u (log($2)):(log($4)) via a2, b2
fit f3(x) '< grep ^eq out' u (log($2)):(log($5)) via a3, b3
set output 'errQ.png'
set xlabel 'N'
set ylabel 'Relative error norms'
set key top right
plot '< grep ^eq out' u 2:3 w p lt word(mypoints, 1) lc rgb word(mycolors, 1) ps 3 lw 2 t '|Q|_1, '.ftitle(a1, b1), \
exp (f1(log(x))) ls 1 notitle, \
'< grep ^eq out' u 2:4 w p lt word(mypoints, 2) lc rgb word(mycolors, 2) ps 3 lw 2 t '|Q|_2, '.ftitle(a2, b2), \
exp (f2(log(x))) ls 1 notitle, \
'< grep ^eq out' u 2:5 w p lt word(mypoints, 3) lc rgb word(mycolors, 3) ps 3 lw 2 t '|Q|_{max}, '.ftitle(a3, b3), \
exp (f3(log(x))) ls 1 notitle
